ANTIBIOTICS
-
Amoxicillin
-
Ampicillin

-
Azithromycin

-
Cefotaxime

-
Ceftazidime

-
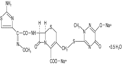
CEFTRIAXONE SODIUM

-
Cefuroxime
-
Ciprofloxacin

-
Clarithromycin
-
Clindamycin

-
Co-amoxiclav
-
Fexofenadine
-
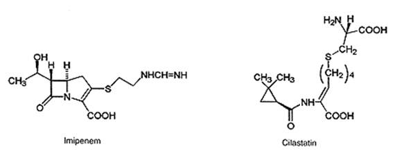
Imipenem And Cilastatin

-
Levofloxacin

-
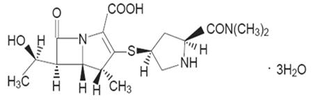
Meropenem

More Pages >> Nxt




